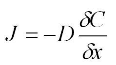
Fick’s First law of Diffusion formula

Fick’s First law of Diffusion formula
Industry professional? Go Pro
Need to license this item? A/V professionals and researchers can shortlist licensing enquiries via our NFSA Pro catalogue search and membership.
Collections to explore
Start your own collection
A free Your Stuff account allows you to save, organise and share your favourite videos, audio and stories.